學達書庫 > 鄒韜奮 > 職業心理學 | 上頁 下頁
第二章 個性差異之量度


  吾人既已研究個性差異之原因,為研究職業心理學之背景,請再進而研究如何量度個性差異之程度。

  量度個性差異之必要 吾人誠欲應用研究個性所得之結果,則在理論與實施各方面,對於一群內某種特性,或幾種特性,皆須求得一種量度之方法。而且有時不但量度而已,並須比較各種特性。誠欲從事比較,苟僅知某人所得關於某種特性之測驗分數較一群中之「平均」或「中數」多若干分,或少若干分;而未知此一群中各人測驗分數之差別情形,則此人在此一群中所處之地位(指程度),仍無明確之表示也。試舉一例以明之。例如此一群中受同一測驗者有百分之五十,其所得之分數與「平均」比較之數,皆與此人所得之比較結果相似,則此人之程度不能有所超出。如此一群中僅有百分之五,所有與「平均」比較之數,與此人相似,則此人之程度即可視為超越矣。除此之外,關於量度個性,尚有一種需要,即尚須應用明確的方法,求出所謂「集中趨勢」(central tendency)(即測驗法中所稱「平均」mean「中數」median或「眾數」mode)之「可靠性」(reliability)。如所測驗之個性愈有變異,則所測驗之人數當愈多,始能獲得滿意之標準或「平均」。

  關於量度某種個性之差異程度,已有數法最常用者,茲略述其概要如左:

  (1)次數分配曲線(frequency curve) 所謂次數分配曲線,例如下圖:平線代表全距離分數,由左向右,起自最低之分數,依次向右,結以最高之分數(此種種分數即由測驗一群兒童某種能力所得之結果)。在平線中每一分數之上,可依得此一級分數人數之多寡,根據所定之單位(如以一人為一單位之類),記一點。俟各點記畢,以一曲線連之,即成所謂次數分配曲線。此圖之功用,在能用圖表示分數之分配大概,由此得覘個性差異之大略情形。如吾人已測驗某人所得之分數,則察視此種曲線,一望而知此人在本群中所居之程度地位。就嚴格言之,此法尚不能稱為明確的量度,惟以其能藉圖畫表明分數分配之大概,用之者頗多,尤以人數在「平均」分數以上或以下者較多時更為有用。

  職業心理學

  上圖所示之曲線,乃一種「常態分配」(normal distribution),蓋此圖左右非常均勻也。受測驗之人數愈多,則此種曲線愈近常態。如所得之曲線左右差池不均,稱為「偏態分配」(skewed distribution)。

  (2)全距離分數(range of scores) 所謂全距離分數,即是從最小分數至數最大分數之距離。有時欲知所測驗之全群成績,僅須敘述全距離分數,即可知其中有無甚大之差異,並可知此群所具之大概程度。核算時,只須從最大分數內減去最小分數。惟此只能作為一種參考之量數,亦非精確之量度也。

  (3)二十五分差距離(semi-inter-quartile range) 較全距離分數更準確者為二十五分差距離,包含全體分數之中間50%,除去最高分數之四分之一與最低分數之四分之一。此法可表明全群中成績之中間一部分,占全部分之一半。如以Q代二十五分差,其核算之公式如左:

  職業心理學

  公式中之Q1系代表下二十五分點,為一種點數,在此點數以下有全體分數之25%,在此點數以上有全體分數之75%。Q3系代表上二十五分點,亦為一種點數,在此點數以上有全體分數之25%,在此點數以下有全體分數之75%。

  (4)平均差(average deviation, A. D. , or mean deviation, Mn. D.) 就嚴格言之,上述之三法,其功用只能作為一種參考的量數;若「平均差」則比較的更為明確之量數矣。然平均差尚屬明確量數之最簡單者,乃計算「均方差」 (standard deviation)或「機誤」(probable error)之第一步也。所謂平均差,蓋指個人所得之分數與一群中之平均或中數比較之平均差數。其核算方法如左:(差數之正負號不計)

  職業心理學
  職業心理學

  茲再將上述之平均差算法解釋如左。

  (甲)未歸類之分數:

  (a)將原來之分數列成順序分配。(此一步可省)

  (b)人數=24,中數為57。(中數系由2除分數總數所得)

  (c)求各分數與中數之差數。第一個分數為20(為15-24.9之中點)與中數相差37,第三個分數相差17,第六個分數相差7,餘類推。負號可不用,因與實際上無關係。

  (d)差數之總數為346,正負號不計。

  (e)平均差等於人數除差數之總數。

  (乙)已歸類之分數:

  (a)將原來差數重行排列,求次數分配。

  (b)第一級15-24.9之離中差為37,第二級為27,餘類推。此差數並非級之差數,乃實際之差數。

  (c)次數乘差數。例如第一級之次數有2,故用2,乘差數37,總數為74。第二級之次數為零,故總數亦為零。第三級次數為3,差數為17,相乘得51,餘類推。

  (d)差數之總數為346,正負號不計。

  (e)平均差=346/24=14.416+

  就常態分配言,在「集中趨勢」上下之各一個Q包含全體分數之50%,在「集中趨勢」上下之各一個平均差包含全體分數之57.5%,故後者之數較前者為大。

  (5)均方差(standard deviation, S. D.) 在「集中趨勢」之上下各一個均方差,約占全體分數之68%。如所得之結果系常態曲線,於「中數」左右依均方差之長度作一記號,在此兩記號上畫兩垂線,則能包含曲線內68.26%之面積,換言之,即能包括全體分數之68.26%。其核算方法如左:

  職業心理學

  茲再將上述之均方差算法解釋如左:

  (甲)未歸類之分數:

  (a)將原來之分數列成順序分配。(此一步可省)

  (b)人數=24,平均數為7.0。因欲免除差數之小數,故用假定的平均數7.5代替平均數7.0。如不用7.5,用9.5或2.5均可。(平均數7.0系用人數除分數總數所得,所以須加.5,因2分實際為2-2.999中點為2.5)。

  職業心理學
  職業心理學

  (c)求各分數與假定的平均數之差數。第一個分數為2,實際為2-2.99,中點為2.5,與假定之平均數相差為5。餘類推。

  (d)各差數均自乘。

  (e)差數方之總數為124。

  (f)均方差S. D. 為人數除差數方之總數,減去校正數的方之方根。校正數的平均數與假定的平均數之差數,在此例內為.5。

  均方差S.D.=職業心理學

  (乙)已歸類之分數:

  (a)將原來分數,重行排列,求次數分配。

  (b)人數=24,平均數=7。

  (c)將接近分配中央任何一級之中點,用為「參照點」。凡用假定的平均數,皆取一級的中點。假定的平均數為7.5。

  (d)求各級與假定平均數之差數。

  (e)差數自乘,再乘次數。從上邊乘起:(5)2×1=25,(4)2×1=16,(3)2×2=18。餘類推。

  (f)均方差S.D.=職業心理學平均數與真實的平均數之差數,在此例內為.5。倘遇無差數,則校正數為零。所以須用假定的平均數,再行校正,蓋欲便於核算計,免除小數攙入。

  (6)機誤(probable error, P. E.) 所謂機誤,亦與分配曲線圖有關係。此指量表上(即分配圖之底線)之一種距離單位;如在「中數」左右,依機誤之距(即長度)作記號,即可表明曲線內全部面積之50%,換言之,即包含全體分數之50%。其算法只須將.6745乘均方差S.D.即得。其公式如左:

  職業心理學

  公式中之d指中數之差數,∑指總數,N指人數。

  左列一表,表示依據以P. E. 為單位離開「平均」之遠近,其所包含之全體分數中百分之幾亦因之而異。惟此表僅限於常態次數曲線。

  職業心理學

  以上所述可得核算之各種方法,皆以數目字表明在「量表」上與「平均」相離之「距」,藉此表明一級或一群中個性差異之大概趨勢。此數法皆應用統計學於教育方面者也。此外統計學中尚有一法與個性差異之量度亦有重要之關係,即所謂相關度。

  相關度之創始 相關度創自葛爾頓(Galton),葛爾頓研究遺傳,需要此種量度方法,故此事之探討,由彼開其端焉。關於相關度之進化史與其公式之沿革,其詳情非本章範圍所及。惟「相關係數」(coefficient of correlation)在心理學、教育學、經濟學等等專門科學中皆有甚大之貢獻,尤為研究個性者所不可不知,故其功用與核算方法,為研究職業心理學者所宜特加致意。

  相關度之意義 所謂相關度,乃一種方法,用以鑒定一組人,或一組學校,或其他團體,其所有之兩種成績間有何連帶關係?如兩種之間有絕對之正比例關係,相關係數(r)為+1.0;如兩種之間僅有反比例之關係,則相關係數為-1.0。如兩種成績彼此間毫無關係,則相關係數為0。據經驗所示,自0至±.4相關為低;自±.4至±.7之相關頗有關係;自±.7至±1.0之相關程度為高者。

  相關度在教育方面之功用 相關度在教育方面之功用甚大。吾人所採用之智力測驗或教育測驗,其結果是否可恃?教師之評判與測驗之等第是否相符?各種能力彼此間有否連帶關係?各種智力與各種科目彼此間是否有連帶關係?學業成績與實際事業之成功有多大關係?此類問題之答案,皆得以相關度之方法解決之。

  核算相關度之方法 現今最通行之核算相關度方法,皆用潘阿生(Pearson)所創作之公式:

  職業心理學

  公式中之r指相關係數,∑指總數;x指第一組測驗分數與平均數之差數,y指第二組測驗分數與平均數之差數;N指人數;σx指第一組測驗之均方差,σy指第二組測驗之均方差。上述公式亦可列成如左之公式:

  職業心理學

  茲舉一例如左,說明用此公式核算相關度之方法:

  職業心理學
  職業心理學

  茲將上表所示相關係數核算法說明如左:

  (a)依各人之號數,將兩種測驗之分數依次排列,例如第一人所得測驗Ⅰ之分數為2,所得測驗Ⅱ之分數為50。餘類推。

  (b)求兩種分數之平均數。測驗Ⅰ之平均數為7,測驗Ⅱ之平均數為57.5。

  (c)求測驗Ⅰ分數與平均數之差數x,測驗Ⅱ分數與平均數之差數y。例如測驗Ⅰ之平均數為7.0,第一人之分數為2,比較平均數少5,故在x項下寫一負5。

  (d)將x與y之數目自乘。例如-5自乘為25。-7.5自乘為56.25。

  (e)求x與y之相乘數。例如-7.5×-5=37.5。又如-4×-7.5=30.0。

  (f)求x2與y2之總數  ∑x2=124  ∑y2=7850

  (g)求xy之總數。正的xy數=434,負的xy數=135。兩數之總數∑xy=299。

  (h)將所得之數目代入公式,r=.303

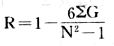
  均方相關法與等級相關法 上述之方法系「均方相關法」(product-moment method),此法之核算,可不用相關數對數表,其結果比較的最為可靠。此外尚有一更為便利之核算方法,稱為「等級相關法」(rank correlation method)。求等級相關,可用斯比亞門之公式(Spearman "Footrule" Formula):

  職業心理學

  公式中之G指「名次較數」(gains in rank),∑指總數,N指人數,R指名次相關係數。用上列公式得到「名次較數」後,尚須參照潘阿生之對數表,化成相關係數。

  核算相關度之對數表 化R為r之對數表

  職業心理學

  職業心理學

  既有此表,請再舉一例,以示等級相關之核算法:

  職業心理學

  茲將上述用表核算法說明如左:

  (a)先將各人之測驗Ⅰ分數,列成比較的等第。例如2分列第一或1;3分列2;4分有兩個,平分3、4等第,故各列3.5;5分有四個,將5、6、7、8四個等第平均之後,各得6.5;餘類推。測驗Ⅱ之分數亦列成等第。例如20分有兩個,平均1、2兩等第,各得1.5;40分有三個,平均3、4、5等第,各得4;餘類推。測驗Ⅰ之分數系以量小者列在最前,如以最大者列在最前亦可,惟兩種測驗之等第須相對照。

  (b)核算超過第一次等第之數,獲得等第較數。例如8.5-1=7.5;8.5-2=6.5。餘類推。

  (c)求得等第較數之總數。∑G=74.5

  (d)代入公式,R=.224,參照對數表化成r,r=.37


學達書庫(xuoda.com)
上一頁 回目錄 回首頁 下一頁